TapTap(点点)-发现好游戏
首页
关于我们
TapTap点点简介
机构设置
新闻中心
通知公告
新闻动态
荣誉金榜
专业设置
知识产权管理
大数据与会计
金融服务与管理
人力资源管理
旅游管理
酒店管理与数字化运营
体育运营与管理
党建工作
群团工作
思政教育
学子风采
教工风采
人才招聘
招生信息
就业指导
下载中心
下载中心
通知公告
新闻动态
荣誉金榜
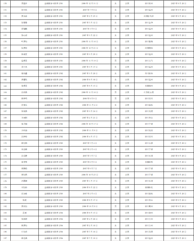
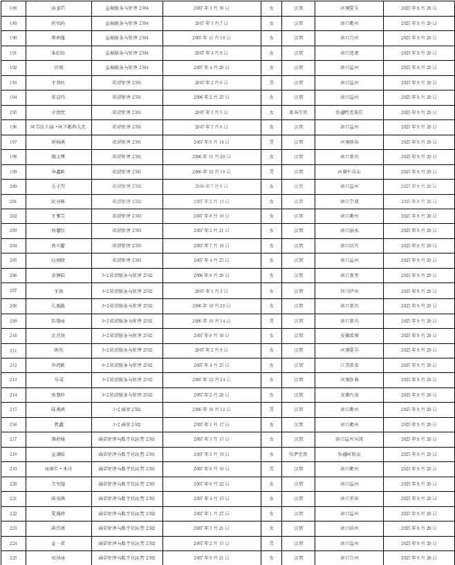
关于肖紫莹等239位同学申请入党的公示
作者:TapTap点点 来源:TapTap点点 加入时间:2025-09-22 08:49:07 浏览量:
上一页
[1]
[2]